
Assignment 2
by
Amanda Newton
Let's investigate and manipulate the parabola
. First we will just do some relatively simple substitutions. For example, substitute (x-4) in for each x.
2eq.gif)
graph.gif)
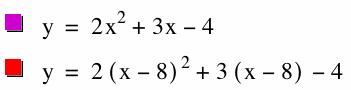
The new equation below generates a graph shifted to the right, but by how many units? The equation
simplified is
. The x-value of the vertex can be found by using the formula h=-b/2a, where h represents the vertex. Using this formula, we get the vertex of the original graph shown above in purple to be -3/4. We could also set the derivative of the first equation to equal zero and arrive at the same answer. We use the same method to find the x value of the vertex of the second equation and graph to be 13/4. What is the distance between the two vertices? 13/4-(-3/4)=16/4=4. Does the number 4 look familiar in this case? In most cases quadratics are given in the standard form
, where the x value of the vertex is found by the formula we used earlier, h=-b/2a. If we look at the formula in vertex form,
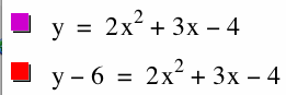
,the vertex is simply (h,k), where h denotes the x value of the vertex. Returning to our value of 4 found from taking the distance of the two graphs, we should expect a substitution of (x-8) to generate a graph where the vertex is 8 units away from the original. The graph shown below illustrates this more clearly.


The graph is indeed 8 units to the right of the original as expected. It should be noted that we have not proved anything, just made conjectures about our findings. The generalization can indeed be proved simply through the equations of parabolas. Instead of providing a proof, let's use our newly found conjecture to solve a new question. That is, how can we manipulate the original equation to move the vertex of the graph into the second quadrant? So we need only to change the y-value of the vertex, but we have not considered the y-value yet. The y value of the vertex needs to be increased by more than 5 units. When we substituted values in for x in the above graphs, the y-values were not changed. What is it exactly that we have to change then? If substituting in (x-4) for x, shifts the graph 4 units in the positive direction, then wouldn't substituting in (y-b) for y shift the graph by "b" units in the positive direction as well? If we let b=6, the vertex of the graph should be shifted into the second quadrant. In other words, let's substitute in (y-6) for y. (Note: substituting y-6 for y is equivalent to adding 6 to the value of y or adding 6 to the right side of the equation, but for conceptualization purposes we will write it as 'y-6'). This is demonstrated in the graph below.


Our conjecture was correct; but we can see that there is space between the x-axis and the graph, so the value of our substituted "b" could have been smaller...but how much smaller? We need to find the distance from the y-value of the original vertex to the x-axis and find out how to manipulate the equation to move the vertex up exactly that many units. We found the x-value to be -3/4, so we can substitute this value into the equation to get the y-value at this point. After some basic Algebra, we conclude that the minimum/vertex point is (-0.75,-5.125). So if we substitute y-b for some value b>5.125, the vertex of the graph will lie in the second quadrant.
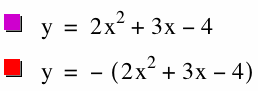
How can we manipulate the original equation so that the graph will share the same vertex as the original but be concave down? When we take the negative of the equation, the graph is reflected over the x-axis. The graph is shown below.


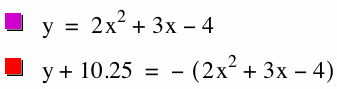
Since the new graph is a direction reflection the vertex of the new graph is twice the distance (y-value) of the vertex from the original. The vertex of the original equation was found earlier to be (-0.75,-5.125), so we calculate 2(-5.125)=-10.25. Therefore we need so substitute y-(-10.25) in for y into the second equation from above (the negative of the original). The result is shown below.


We can see from our investigation that parabolas have many dimensions to consider. In terms of transformations, let's generalize a few of the cases. If we want to shift the graph's vertex to the right "c" units, we can substitute (x-c) in for x. The opposite is also true; substituting (x+c) in for x will shift a vertex of a parabola to the left "c" units. Considering the y-values, to shift the vertex of parabola "b" units up (positive direction), we have to substitute (y-b) in for y. To shift the vertex of the graph down "b" units, substitute (y+b) in for y. Lastly, to generalize the reflection we just computed, to reflect a graph about a vertex so that the original and shifted graph share the same vertex but open in different directions (concave up vs concave down), take the negative of the equation and substitute y-2(d) in for y, where d is the y-value of the original vertex. Another way to generalize this is to substitute 2d-y in for y (this makes the manipulation a one-step process. Notice that if d is originally negative then we are adding a value to y, whereas if d is positive (if the original graph's vertex is above the x-axis), we are subtracting a value from y. Now given an equation of the form
, we can manipulate it as we like.